おはようございます。
海外出張が昨日で終わり、本日から仕事再開です!
出張中、色々な人にお会いしたのですが、その中で一番印象に残ったのは、現地のシャーマンの一言。
「金融業界のドロドロした世界で何年もやっていける人は、大抵魂レベルが高い人」
この言葉を聞いて、じーんと来ました。
数値でしか判断されないビジネスライクな世界にもしっかりとした精神世界の見えない秩序が潜んでいる事に、感激しました。
確かに、金融業界で成功している人(他のビジネスで成功している人もそうですが)は、表向きは言いませんが、話すと相当数、スピリチュアリストが多い事が分かります。
人類の魂レベルを一段上げるスピリットレベルの仕事、これをライフワークに前に進みたいと強く思いました。(そう書くと、感度が低い人は、カルト的に読み取ってしまいますが。。。)
さて、昨日の相場ですが、あまりボラがなく満足した結果を出せない人がそれなりにいたようです。
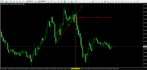
例えば、生徒さんから相談を受けたEUR/JPY。
下図の水色矢印付近で押しを狙ってエントリーしたようです。
エントリー理由は、下図4HのWボトムネックライン抜けを狙ってのエントリーだそうです。
確かに、それは正しいですが、その市場の目標達成地点の意識が抜け落ちています。
なぜなら、エントリーした時には、既にその市場の目標値を達成しているからです。
この生徒さん以外でも、同じようなところで負ける人は、重要抵抗で付近で、ローソク足が支えられないと、更に上に行かないという、一般的な事実を理解していないです。
どういう事かと言うと、下図のローソク足(オレンジ色)のようにならないと、更に上に行かないという事です。
又は、下図。
この様な形になる事を意識しながら、下位足であるトレード執行時間足で押しを狙えば、4Hローソク足一本分は最低限伸びます。(当然、15分足ならそれなりの幅が狙えます!)
こ のイメージが難しいという人は、下図のようにボリンジャーバンドを表示すれば、エクスパンションするところが大抵その場所です。逆に、ボリバンが閉じそう なところに、重要抵抗が重なるようであれば、そこがその市場の目標値になることが多いです。(昨日は、まさにその地点ですね。。。)
昨日負けた人は、4Hの環境分析が甘いです。
・4Hボリバンが閉じそうな所+重要抵抗・・・市場の目標値になることが多いので、利確準備。
・4Hボリバンがエクスパンションしそうな所+重要抵抗で支えられそうな所・・・更に上を狙えるところ。押し目買いポイント。
これを一瞬で見極められるようにしましょう!
それでは、本日の指標です。(*Zaiから引用)
・21時30分:米)小売売上高&【除自動車】
・21時30分:米)生産者物価指数&【コア】
・23時00分:米)ミシガン大消費者信頼感指数【速報値】
→今週に入ってのドル円は、109円半ばまで急激に上昇→108円前半まで急落→再度109円半ばまで上昇と、方向感の定まらない乱暴な動きとなっている
本日の注目度の高い米国の経済指標の発表での反応は大きなものになりやすいだろう
主要な株式市場&米国の長期金利&原油価格の動向と共に注視したい
因みに、4H重要抵抗で支えられそうな所は、下位足でエクスパンションしています^^
感謝^^
★水平線のみのトレードがどんなものなのかを見たい方は画面右上の登録フォームのロゴをクリックしてください。登録後、直ぐに見ることができます。
もし宜しければ下ボタンを押して頂けると嬉しいです↓
にほんブログ村





