- 前ページ
- 次ページ
https://x.com/MoeFukada/status/2053597756816781574?s=20
【5月11日17時公開】日野市に謎の巨大データセンター出現!もしやミサイルの標的に?名前を明かせない驚愕の理由とは 池田としえ氏https://t.co/02Z6TufOIb#政経プラットフォーム #深田萌絵 表示を縮小 pic.twitter.com/rN385Yi182
— 深田もえ MoeFukada (@MoeFukada) May 10, 2026
【5月11日17時公開】日野市に謎の巨大データセンター出現!もしやミサイルの標的に?名前を明かせない驚愕の理由とは 池田としえ氏
https://x.com/TsutomuIkarashi/status/2053495053700800785?s=20
5月10日日曜日
— 五十嵐 勉🌅 (@TsutomuIkarashi) May 10, 2026
オールドメディアがまともに報道しない
コロナワクチンによる
健康被害の実情を伝えるため
浦和駅前にて行われた
チラシ配り街宣に参加してきました
難しい話しをしても
道行く人の反応は薄かったので
誰もが知っている方の話をしてみた@Ts0zqAfa413maru pic.twitter.com/jwadeGZ7Ao
いろいろあるね
carlosalbertomedeiros1987、その他が「いいね!」しました
Something was discovered near the pyramid itself that calls into question everything we know about the ancient world. It's a strange metallic triangle, whose composition remains a mystery to science—it's unlike any known alloy.
But even more astonishing are its properties: when exposed to fire or simply heat, the artifact releases a powerful electrical discharge. Scientists are puzzled—where does this energy come from and what powers it?
Furthermore, when an ordinary sheet of paper was placed between the parts of the object, it didn't ignite or char. The paper simply crumbled into a fine dust, leaving no trace of fire or ash. This behavior violates all the laws of physics and points to principles we cannot yet explain.
Perhaps we have stumbled upon knowledge from which humanity has been deliberately shielded. What else do the sands of Egypt conceal? Could the pyramids really have provided energy and nourishment to the entire world in the past?
#interestingvideo #viralvideo #reelsinstagram #fyp #viral
carlosalbertomedeiros1987、その他が「いいね!」しました
https://www.instagram.com/reel/DWtsY-4iDzR/?utm_source=ig_web_copy_link&igsh=NTc4MTIwNjQ2YQ==
ピラミッド自体の近くで何か発見された。古代世界について私たちが知っているすべてのことを疑問に思う。 それは奇妙な金属三角形で、その構成は科学にとって謎のままでいる—それは既知の合金とは違います。
しかし、さらに驚くべきのはその特性です:火災や単に熱にさらされた場合、人工物は強力な電気放電を放出します。 科学者たちは困惑しています—このエネルギーはどこから来て、どんな力を得るのか?
さらに、オブジェクトのパーツの間に普通の紙が置かれたとき、点火も文字もありませんでした。 紙は単に細かい塵に粉砕し、火や灰の跡形も残さなかった。 この行動はすべての物理法則に違反しており、私たちがまだ説明できない原則を指摘しています。
おそらく、人類が意図的に守られてきた知識に出くわしたのかもしれない。 エジプトの砂は他に何を隠しているの? ピラミッドは本当に過去に世界全体にエネルギーと栄養を与えたのだろうか?
#interestingvideo #viralvideo #reelsinstagram #fyp #viral
本当?
https://www.instagram.com/reel/DX_r-UlRAZ5/?utm_source=ig_web_copy_link&igsh=NTc4MTIwNjQ2YQ==
Explorers Climb Giza Pyramid Top Searching Deep Hidden Secret Chambers Filled With Ancient Kings Tombs And Mysterious Artifacts. "sci-fi horror FilmConcept found footage"
.. #ancientegypt #hiddenhistory #ancienttechnology #ancientmysteries #sybervisions_
fabriceboisliveau、その他が「いいね!」しました
探検家はギザのピラミッドトップに登る、古代の王の墓や謎の遺物で埋め尽くされた秘密の部屋を探索する。 SFホラー FilmConcept 映像が見つかった.
#ancientegypt #hiddenhistory #ancienttechnology #ancientmysteries #sybervisions_
ほんとうなのかなぁ。ピラミッド
https://www.instagram.com/reel/DUoY8AuD_ec/?utm_source=ig_web_copy_link&igsh=NTc4MTIwNjQ2YQ==
O Que Exploradores Encontraram Sob a Terra Está Gerando Perguntas no Mundo Inteiro 😨👀
Algumas descobertas simplesmente não ganham destaque nos noticiários.
Exploradores registraram imagens dentro de uma estrutura subterrânea incomum — um ambiente profundo, escuro e repleto de elementos que parecem saídos de um filme.
⚰️ Fileiras de caixões organizados em cavernas extensas
🗿 Esculturas monumentais com traços que lembram o estilo egípcio
🔺 Símbolos e inscrições enigmáticas
🛠️ Estruturas metálicas e objetos cuja origem ainda gera debate
As imagens levantaram questionamentos imediatos.
Seria um sítio arqueológico pouco conhecido?
Uma construção histórica reinterpretada pela internet?
Ou apenas uma mistura de elementos fora de contexto que parecem mais misteriosos do que realmente são?
Até o momento, não há confirmação oficial que sustente teorias extraordinárias. Mas uma coisa é certa: quando registros assim surgem, a curiosidade fala mais alto.
Porque o desconhecido sempre provoca a mesma pergunta:
👉 Estamos olhando para algo antigo…
ou apenas para algo que ainda não entendemos?
#reels #viral #egito #curiosidades #fatosestranhos
いいね!」しました
探検家が地面の下で見つけたものは、世界中に疑問を生み出している😨👀
いくつかの単純な発見は、ニュースのヘッドラインにならない。
エクスプローラーズは、まるで映画に出てきたかのような要素が満ちた深くて暗い環境の中の映像を記録した。
⚰️ 拡張洞窟に整理された棺の列
エジプト風に似た線を持つ記念碑的な彫刻
🔺 霊性記号と表記
起源はまだ議論を生み出す金属構造と物体 🛠️
その画像はすぐに疑問を抱いた。
あまり知られていない考古学的サイトになるだろうか?
インターネットによって再解釈された歴史的建造物?
それとも、実際よりも謎に見える文脈外の要素を混ぜるだけ?
今のところ、並外れた理論を支持する公式な確認はありません。 しかし、一つ確かなことは:このような記録が出てくると、好奇心がより大きくなる。
未知のものはいつも同じ質問をするから:
私たちは何か古いものを見ている... 👉
それとも、まだ理解していない何かのために?
#reels #viral #egito #curiosidades #fatosestranhos
地底
https://www.instagram.com/reel/DX3wqv7S2v3/?utm_source=ig_web_copy_link&igsh=NTc4MTIwNjQ2YQ==
謎の物体
https://www.instagram.com/reel/DWqeTiQj5SY/?utm_source=ig_web_copy_link&igsh=NTc4MTIwNjQ2YQ==
レプタリアン
https://www.instagram.com/reel/DVHFU6WjITu/?utm_source=ig_web_copy_link&igsh=NTc4MTIwNjQ2YQ==
安倍さん
https://www.instagram.com/reel/DYEgQd0PKFo/?utm_source=ig_web_copy_link&igsh=NTc4MTIwNjQ2YQ==
ちょうけいてんのう 長慶天皇
https://www.instagram.com/reel/DX_0wKOvR5Z/?utm_source=ig_web_copy_link&igsh=NTc4MTIwNjQ2YQ==
デジタル円
https://www.instagram.com/reel/DXTNdyZkqOO/?utm_source=ig_web_copy_link&igsh=NTc4MTIwNjQ2YQ==
「いいね!」しました
色々方法はあるかと思いますので
ご自身で考えられる限りの対策は今のうちに
しらつゆはらい
https://www.instagram.com/reel/DVvY1H9Bfod/?utm_source=ig_web_copy_link&igsh=NTc4MTIwNjQ2YQ==
中国企業かアメリカ企業をとるか
https://www.instagram.com/reel/DYGMhGHzjrl/?utm_source=ig_web_copy_link&igsh=NTc4MTIwNjQ2YQ==
マイケル
https://www.instagram.com/reel/DVvk7M2TkVr/?utm_source=ig_web_copy_link&igsh=NTc4MTIwNjQ2YQ==
日本とろん
https://www.instagram.com/reel/DWlOmLvDpIh/?utm_source=ig_web_copy_link&igsh=NTc4MTIwNjQ2YQ==
キャッシュレス
https://www.instagram.com/reel/DVUqLHLE-ct/?utm_source=ig_web_copy_link&igsh=NTc4MTIwNjQ2YQ==
https://x.com/himuroReborn398/status/2053437952798437767?s=20
やっぱ、めっちゃ危険や ん
— himuro Reborn (@himuroReborn398) May 10, 2026
緊急事態条項のヤバい事よ pic.twitter.com/y4rqMCDy2A
やっぱ、めっちゃ危険やん
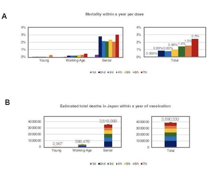
ファイザー元女性社員による警鐘が、今現実になって
ファイザー元女性社員による警鐘が、今現実になっている#風化させてはならない pic.twitter.com/a853UKJzKQ
— 武田浩典 (@g1514762) May 10, 2026
https://x.com/g1514762/status/2053370823486894114?s=20
https://x.com/hide_Q_/status/2053287316870115541?s=20
マジヤバくない?
— ひで2022真実を追求 (@hide_Q_) May 10, 2026
当時のテレビで、オウムの村井氏が「阪神大震災は地震兵器による奇襲」「山の上から霧状の毒ガスが来ている」ってテレビでガッツリ暴露してたの、知ってる?😳「大国がやった」とまで言及してるんだけど…この直後、彼は公衆の面前で刺殺された。
これ、ただの偶然だと思う?🤔 pic.twitter.com/9EwQ3ye0xo

